บทความครูปัจจุบัน
การเดินทางของโรงเรียนมหิดลวิทยานุสรณ์เริ่มต้นมาจากวัดไร่ขิง จนมาสู่ตำบลศาลายาในปัจจุบัน ระยะเวลา 36 ปีที่ผ่านมา โรงเรียนได้สร้างบุคลากรจำนวนมากไปขับเคลื่อนสังคม และสร้างผลงานเป็นที่ประจักษ์จนกลายเป็นต้นแบบของคำว่า “โรงเรียนวิทยาศาสตร์” หนึ่งในกลไกสำคัญที่ทำให้โรงเรียนพัฒนามาได้ไกลถึงวันนี้คือ การไม่เคยหยุดพัฒนาของบุคลากร “ครู” ตั้งแต่อดีตจนถึงปัจจุบัน โดยมีเป้าหมายเพื่อให้การเรียนไม่ใช่แค่การให้ความรู้ แต่คือการสร้างคนที่สมบูรณ์
MWIT จากจุดเริ่มต้นสู่ปัจจุบัน ผ่านสายตาครูรุ่นบุกเบิก
อ.สุชาวดี บูรณสมภพ
สาขาวิชาชีววิทยาและวิทยาศาสตร์สุขภาพ โรงเรียนมหิดลวิทยานุสรณ์

บ่มเพาะอัจฉริยะใต้ร่มอาราม สู่ปรากฏการณ์วิทยาศาสตร์ที่โลกต้องจารึก
หากกล่าวถึงโรงเรียนมหิดลวิทยานุสรณ์ (MWIT) ในสายตาของผู้คนยุคปัจจุบัน ภาพที่ปรากฏในความคิดคงเป็นโรงเรียนประจำด้านวิทยาศาสตร์ที่ทันสมัย ตั้งตระหง่านอยู่ ณ ศาลายา พร้อมห้องปฏิบัติการครบครัน และระบบการเรียนรู้ระดับแนวหน้าของประเทศ แต่หากย้อนกลับไปยังจุดเริ่มต้น รากเหง้าที่แท้จริงของโรงเรียนวิทยาศาสตร์แห่งแรกของไทย กลับเริ่มต้นอย่างเรียบง่าย ณ ศาลาการเปรียญวัดไร่ขิง จังหวัดนครปฐม
ในวันนั้นคงไม่มีใครคาดคิดว่าสถานที่ซึ่งรายล้อมด้วยเสียงระฆัง เสียงสวดมนต์ และวิถีแห่งความสงบ จะกลายเป็นต้นกำเนิดของสถาบันการศึกษาที่สร้างนักวิทยาศาสตร์ระดับโลกได้ในเวลาต่อมา สำหรับครูรุ่นบุกเบิกอย่างผู้เขียน MWIT ไม่ได้ถือกำเนิดจากอาคารโอ่อ่าหรือเครื่องมือทันสมัย หากแต่ถือกำเนิดจากความเชื่อมั่น ความศรัทธา ความมุ่งมั่น และความฝันร่วมกัน ความฝันที่ว่าประเทศไทยควรมีพื้นที่ซึ่งเปิดโอกาสให้เยาวชนผู้มีศักยภาพด้านวิทยาศาสตร์ได้เติบโตอย่างแท้จริง ช่วงเริ่มต้นเต็มไปด้วยความตื่นเต้นและความไม่แน่ใจ และไม่อาจรู้ได้เลยว่าหนทางข้างหน้าจะพาเราไปไกลเพียงใด แต่สิ่งหนึ่งที่ครูทุกคนเชื่อมั่นตรงกันคือ เด็กกลุ่มนี้ควรได้รับโอกาส และวิทยาศาสตร์ควรถูกถ่ายทอดด้วยหัวใจ มิใช่เพียงจากตำราเรียน
การเรียนการสอนในวันนั้นเริ่มต้นจาก “ห้องเรียนที่ไม่มีผนัง” บทเรียนไม่ได้จำกัดอยู่เพียงห้องสี่เหลี่ยม บางครั้งเริ่มต้นใต้ต้นไทรใหญ่ในวัดไร่ขิง นักเรียนรุ่นแรกของ MWIT ไม่ได้ถูกสอนให้ท่องจำคำตอบ แต่ให้ลงมือทำและเรียนรู้จากประสบการณ์จริง ในก้าวแรกนั้น โรงเรียนยังไม่มีแผ่นดินเป็นของตนเอง หากแต่ได้รับความเมตตาจากหลวงพ่อวัดไร่ขิง (พระอุบาลีคุณูปมาจารย์) ผู้เล็งเห็นถึงความสำคัญของการศึกษา ท่านได้มอบพื้นที่และอาคารเรียนเดิมของวัดให้เป็นที่พำนักชั่วคราวของเหล่า “ว่าที่นักวิทยาศาสตร์” รุ่นแรก ภาพจำในวันนั้นยังชัดเจนเสมอ อาคารไม้และเล้าไก่เก่า ๆ เสียงระฆังวัด เสียงจากงานเทศกาลและงานประจำปี เป็นฉากหลังของการเรียนรู้ ชีวิตประจำวันอาจไม่สะดวกสบาย แต่เปี่ยมด้วยความอบอุ่น เด็ก ๆ ใช้เวลาว่างเดินหาของกินในตลาดในวัด ซึมซับความสงบในเขตอภัยทาน ก่อนจะกลับเข้าสู่โลกแห่งการเรียนรู้วิทยาศาสตร์อย่างเข้มข้น

เล้าไก่และกุฏิแม่ชีในวันนั้น กลายเป็นบทพิสูจน์ถึงความมุ่งมั่นและจิตวิญญาณนักสู้ของศิษย์ยุควัดไร่ขิง ในช่วงที่ระบบโรงเรียนประจำยังไม่สมบูรณ์ นักเรียนชายต้องพักอาศัยในอาคารที่ดัดแปลงจากเล้าไก่เก่า ขณะที่นักเรียนหญิงได้รับความเมตตาให้นอนพักในกุฏิแม่ชี ภายใต้บารมีของหลวงพ่อวัดไร่ขิงที่คอยดูแลคุ้มครอง ความยากลำบากเหล่านั้นมิได้บั่นทอนกำลังใจ แต่กลับหล่อหลอมให้เด็ก ๆ เติบโตด้วยความอดทน อ่อนน้อม และแข็งแกร่งจากภายใน
ต่อมาโรงเรียนมหิดลวิทยานุสรณ์ได้ขยับขยายสู่ศาลายาในปี พ.ศ. 2538 บนพื้นที่ของมหาวิทยาลัยมหิดล ตลอดเส้นทางนั้น ผู้เขียนเองก็เรียนรู้ไปพร้อมกับศิษย์ เราปรับแผนการสอนในยามค่ำคืน ทดลองวิธีการสอนที่แตกต่าง และยอมรับความผิดพลาดอย่างซื่อสัตย์ วัดไร่ขิงจึงมิได้เป็นเพียงสถานที่พักพิงชั่วคราว หากแต่เป็นแหล่งเพาะเมล็ดพันธุ์แห่งความคิดอันทรงคุณค่า ซึ่งยังคงเติบโตงอกงามมาจนถึงปัจจุบัน

นวัตกรรมสิ่งประดิษฐ์เพื่อการจัดการเรียนรู้ฟิสิกส์ในระดับมัธยมศึกษาตอนปลาย
ดร.กิติศักดิ์ บุญขำ
สาขาวิชาฟิสิกส์ โรงเรียนมหิดลวิทยานุสรณ์
การจัดการเรียนการสอนวิชาฟิสิกส์ในระดับมัธยมศึกษาตอนปลายมักเผชิญความท้าทายสำคัญคือ เนื้อหามีความเป็นนามธรรมสูง และต้องอาศัยการทดลองเพื่อสร้างความเข้าใจเชิงลึก อย่างไรก็ตามอุปกรณ์ทดลองมาตรฐานจำนวนมากมีราคาสูงและไม่เอื้อต่อการจัดกิจกรรมแบบลงมือปฏิบัติ (hands-on) ให้นักเรียนทุกกลุ่ม ผู้พัฒนาจึงได้ออกแบบและสร้างชุดอุปกรณ์ทดลองทางฟิสิกส์หลายรายการ เพื่อใช้เป็นนวัตกรรมการศึกษาในการจัดการเรียนรู้ที่เน้นผู้เรียนเป็นสำคัญ และส่งเสริมกระบวนการสืบเสาะหาความรู้ (inquiry-based learning)

ตัวอย่างนวัตกรรมสำหรับระดับมัธยมศึกษาปีที่ 4
ในระดับมัธยมศึกษาปีที่ 4 ได้พัฒนาชุดการทดลองสำคัญ 2 ชุด ได้แก่
1. ชุดการตกอิสระ
ใช้ศึกษาความสัมพันธ์ระหว่างระยะทาง เวลา และความเร่งเนื่องจากแรงโน้มถ่วง นักเรียนสามารถเก็บข้อมูลจริง วิเคราะห์กราฟ และหาค่าความเร่งเนื่องจากแรงโน้มถ่วงด้วยตนเอง ส่งเสริมทักษะการวิเคราะห์ข้อมูลและความเข้าใจการเคลื่อนที่แนวตรงแบบมีความเร่งคงที่
2. ชุดการเคลื่อนที่แบบวงกลม
ออกแบบเพื่อศึกษาความสัมพันธ์ระหว่างแรงสู่ศูนย์กลาง มวล รัศมี และอัตราเร็วเชิงมุม นักเรียนสามารถปรับตัวแปรและสังเกตผลการเปลี่ยนแปลงได้อย่างชัดเจน ทำให้เข้าใจแนวคิดแรงสู่ศูนย์กลางและการเคลื่อนที่แบบวงกลมอย่างเป็นรูปธรรม
อุปกรณ์ทั้ง 2 ชุดเน้นความแข็งแรง ใช้งานง่าย และสามารถให้นักเรียนทำงานเป็นกลุ่มย่อย ลดการสาธิตแบบครูเป็นศูนย์กลาง และเพิ่มการมีส่วนร่วมของผู้เรียน
ตัวอย่างนวัตกรรมสำหรับระดับมัธยมศึกษาปีที่ 5
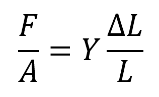
สำหรับระดับมัธยมศึกษาปีที่ 5 ได้พัฒนาชุดการทดลองด้านไฟฟ้าและแม่เหล็ก ได้แก่ ชุดทดลองแรงแม่เหล็ก ใช้ศึกษาทิศทางและขนาดของแรงที่กระทำต่อเส้นลวดที่มีกระแสไฟฟ้าในสนามแม่เหล็ก นักเรียนสามารถทดลองปรับค่ากระแสไฟฟ้าและสังเกตการเปลี่ยนแปลงของแรง ช่วยให้เข้าใจกฎมือซ้ายของเฟลมมิงและความสัมพันธ์เชิงสมการได้ดีขึ้น นอกจากนี้ยังได้พัฒนา ชุดทดลองหาค่า Young’s Modulus ของวัสดุ โดยใช้แรงโน้มถ่วงเป็นแรงดึงภายนอก เพื่อใช้เป็นกิจกรรมการเรียนรู้เรื่องสมบัติเชิงกลของของแข็ง
กรณีตัวอย่างกิจกรรม “ชุดทดลอง Young’s Modulus”
ชุดทดลองนี้ออกแบบให้มีต้นทุนต่ำ โครงสร้างแข็งแรง และเหมาะสำหรับใช้งานในห้องเรียน โดยอาศัยหลักการว่า

เมื่อเพิ่มมวลถ่วงเพื่อสร้างแรงดึงจากแรงโน้มถ่วง จะทำให้ลวดยืดออก นักเรียนวัดค่าการยืดตัวด้วยไดอัลเกจ แล้วนำข้อมูลไปสร้างกราฟความเค้น (stress) กับความเครียด (strain) เพื่อหาค่ามอดูลัสของยังจากความชันของกราฟ ในกิจกรรมการเรียนรู้ นักเรียนจะได้
- ตั้งสมมติฐานเกี่ยวกับความสัมพันธ์ระหว่างแรงกับการยืดตัว
- ออกแบบตารางบันทึกข้อมูล
- สร้างกราฟและวิเคราะห์ความสัมพันธ์เชิงเส้น
- เปรียบเทียบค่าที่ได้กับค่ามาตรฐาน
- อภิปรายแหล่งที่มาของความคลาดเคลื่อนในการทดลอง
กิจกรรมนี้ไม่เพียงช่วยให้เข้าใจแนวคิดมอดูลัสของยังเท่านั้น แต่ยังพัฒนาทักษะกระบวนการทางวิทยาศาสตร์ การคิดเชิงวิเคราะห์ และการทำงานร่วมกัน

การใช้สิ่งประดิษฐ์เหล่านี้ในการจัดการเรียนการสอน ทำให้พบว่านักเรียนมีความสนใจและมีส่วนร่วมมากขึ้น สามารถเข้าใจเนื้อหาเชิงนามธรรมได้ชัดเจนผ่านการทดลองจริง สามารถเชื่อมโยงสมการทางคณิตศาสตร์กับปรากฏการณ์ทางกายภาพ รวมทั้งพัฒนาทักษะการเก็บข้อมูล วิเคราะห์ และสรุปผลอย่างเป็นระบบ
นวัตกรรมสิ่งประดิษฐ์เพื่อการเรียนรู้เป็นแนวทางหนึ่งในการยกระดับคุณภาพการสอนฟิสิกส์ โดยเน้นการเรียนรู้ผ่านการลงมือปฏิบัติจริง ใช้อุปกรณ์ที่ครูสามารถพัฒนาได้เอง ลดต้นทุน และขยายโอกาสให้นักเรียนทุกคนได้มีประสบการณ์ทดลองอย่างทั่วถึง นอกจากนี้ยังสามารถขยายผลไปสู่โรงเรียนเครือข่ายและโรงเรียนภายนอกในโอกาสต่าง ๆ เช่น โครงการอบรมเชิงปฏิบัติการที่โรงเรียนมหิดลวิทยานุสรณ์จัด โครงการวิทยาศาสตร์พลังสิบ


ต้อนรับบุคลากรทางการศึกษาที่มาเยี่ยมชมโรงเรียนมหิดลวิทยานุสรณ์

แนวทางการบ่มเพาะนักเรียนสู่นักวิจัย
ดร.จิโรจน์ แสงรัตนประเสริฐ
สาขาวิชาชีววิทยาและวิทยาศาสตร์สุขภาพ โรงเรียนมหิดลวิทยานุสรณ์

ในฐานะนักพฤกษศาสตร์ที่คลุกคลีอยู่กับอนุกรมวิธานพืช (Plant Taxonomy) และกายวิภาคศาสตร์พืช (Plant Anatomy) ผมมักถูกตั้งคำถามว่า “ศาสตร์ที่ดูคลาสสิกและต้องใช้ความอดทนสูงขนาดนี้ จะดึงดูดเด็กยุค Gen Z ให้สนใจได้อย่างไร?”
คำตอบไม่ได้อยู่ที่เทคนิคการสอนที่หวือหวาเพียงอย่างเดียว แต่มันเริ่มจาก “Passion” (ภาพที่ A-C) ตลอดเวลาที่ผมเป็นครูอยู่ที่โรงเรียนมหิดลวิทยานุสรณ์ ผมไม่เคยหยุดทำวิจัย ผมเชื่อเสมอว่าการเป็นต้นแบบที่ดี เราต้องทำให้เด็กเห็นก่อนว่าความอยากรู้อยากเห็นเป็นอย่างไร นักเรียนบางคนนิยามผมว่าเป็นครูสาย “อินดี้” อาจเพราะเวลาผมสงสัยอะไร ผมจะกัดไม่ปล่อย ทุ่มเทเวลากับมันเต็มที่ อ่านตำราหรือเอกสารงานวิจัยที่เกี่ยวข้อง รวมถึงเสาะหาผู้เชี่ยวชาญตัวจริงมาร่วมงานวิจัย ทั้งหมดนี้คือวิถีชีวิตของนักวิจัยที่ผมอยากส่งผ่านไปให้พวกเขารู้สึกว่า “เฮ้ย! เรื่องพืชมันสนุกกว่าที่คิดนะ” (ภาพที่ D-F)
ความ “เนี้ยบ” ที่แฝงอยู่ในความสนุก เมื่อนักเรียนตัดสินใจก้าวเข้ามาเป็นลูกศิษย์ก้นกุฏิของผม สิ่งแรกที่พวกเขาต้องเจอคือการปรับตัวครั้งใหญ่ ผมมีส่วนผสมของความเป็น “Old School” ที่เข้มงวดเรื่องความถูกต้องของข้อมูล การเขียน Manuscript ต้องเป๊ะ การอ้างอิงต้องแม่นยำ ยิ่งงานด้านอนุกรมวิธาน ความละเอียดคือหัวใจสำคัญ แต่ในขณะเดียวกัน ผมก็ใช้ความเป็น “New School” ผ่านกระบวนการ Active Learning ในห้องเรียน เปิดกว้างสำหรับเด็กที่เริ่มจากศูนย์ ขอแค่ใจอยากลอง ผมพร้อมเปิดโอกาสให้เสมอ
สูตรลับ: ถึก ทน ปนสุนทรียภาพ มีคำร่ำลือในหมู่นักเรียนว่า “อยู่แล็บ อ.จิโรจน์ ต้องถึกและทน” ซึ่งผมไม่ปฏิเสธ การทำงานวิจัยไม่ใช่เรื่องง่าย ต้องใช้ความมานะ พยายาม และความอดทนสูง แต่โชคดีที่นักเรียน MWIT ส่วนใหญ่ถูกฝึกให้ชินกับงานหนักมาอยู่แล้ว หน้าที่ของผมคือเปลี่ยนความหนักให้เป็นความ “ท้าทาย” ผมทำงานละเอียดไปพร้อมกับพวกเขา อยู่แล็บดึกก็อยู่ด้วยกัน แก้เปเปอร์ก็แก้ด้วยกัน ความใส่ใจเหล่านี้แหละที่ทำให้นักเรียนสนุกและไม่รู้สึกว่าถูกทิ้งให้ทำงานลำพัง (ภาพที่ G-L) ผลักดันจนพวกเขาสามารถผลิตผลงานตีพิมพ์ทั้งในวารสารระดับชาติและนานาชาติได้อย่างต่อเนื่อง (ภาพที่ N) (Chaiwerawattana et al., 2022; Sakdapipanich et al., 2024; Sripeng et al., 2024; Aowpitak et al., 2024, Lueangjaroenkit et al., 2025) อย่างไรก็ตามชีวิตนักวิจัยไม่ได้มีแค่กล้องจุลทรรศน์ ผมเชื่อว่านักชีววิทยาที่ดีต้องมี “สุนทรียะในการใช้ชีวิต” ผมจึงมักพาลูกศิษย์ออกจากห้องแล็บไปทำสวน (ภาพที่ M) ทำอาหาร หรือท่องเที่ยวเชิงวัฒนธรรม เพราะการเข้าใจธรรมชาติอย่างลึกซึ้ง ไม่ได้เกิดจากการท่องจำตำรา แต่เกิดจากการสัมผัส สังเกต และรื่นรมย์ไปกับการใช้ชีวิตและธรรมชาติ
ในวาระครบรอบ 36 ปี โรงเรียนมหิดลวิทยานุสรณ์ ผมภูมิใจที่ได้เป็นส่วนหนึ่งในการบ่มเพาะเมล็ดพันธุ์เหล่านี้ ไม่ใช่แค่เพื่อให้เขาเติบโตไปเป็นนักวิจัยที่เก่งวิชาการ แต่เป็นนักวิจัยที่มี “หัวใจ” ละเอียดอ่อน และพร้อมจะสร้างองค์ความรู้ใหม่ให้โลกใบนี้อีกด้วย

A-C การเรียนรู้จากตัวอย่างพืชจริง; D-F การทำวิจัยในห้องปฏิบัติการของโรงเรียนและหน่วยวิจัยภายนอก;
G-J การออกภาคสนามเพื่อสำรวจตัวอย่างพืชในการทำวิจัยด้านอนุกรมวิธานพืช;
K-L การศึกษาตัวอย่างต้นแบบอ้างอิงในพิพิธภัณฑ์พืชสำหรับการศึกษาอนุกรมวิธานพืช;
N การฝึกเขียนบทความต้นฉบับ (manuscript) เพื่อตีพิมพ์ผลงาน
อ้างอิง
Aowpitak, T., Charoenthamraksa, P., Suttikulbutr, A., Chaiwerawattana, N., Lueanajaroenkit, P., Chantaranothai, P., & Sangrattanaprasert, J. (2024). Unveiling the anatomy of Balanophora latisepala (Balanophoraceae): an astonishing achlorophyllous root-holoparasitic plant. Thai Journal of Botany, 16(2), 89-102.
Chaiwerawattana, N., Maknoi, C. & Sangrattanaprasert, J. (2022). Balanophora subcupularis (Balanophoraceae), a new record from Thailand. Thai Journal of Botany, 14(1), 15-19.
Lueangjaroenkit, P., Sahathippayakul, A., Supapongsri, V., Aowpitak, T., Sangrattanaprasert, J., Ngernsaengsaruay, C., & Pinruan, U. (2025). Calathella sirindhorniae (Agaricales, Basidiomycota), a new Cyphelloid fungus from Thailand. Tropical Natural History, 8, 460-471. https://doi.org/10.58837/tnh.25.8.267354
Sakdapipanich, N., Singnalintorn, S., Kittiwatthanothai, T., Chaiwerawattana, N., & Sangrattanaprasert, J. (2024). Balanophora papuana (Balanophoraceae), a newly recorded species for Thailand. Thai Forest Bulletin (Botany), 52(2), 68-71. https://doi.org/10.20531/tfb.2024.52.2.09
Sripeng, T., Rongdach, N., Na-Ranong, P., Jaruwattanaphan, T., Lanorsavanh, S., Limtaropas, C., & Sangrattanaprasert, J. (2024). Adiantum membranifolium (Pteridaceae), a new record of maidenhair fern from Laos. Gardens’ Bulletin Singapore, 76(2), 277-283. https://doi.org/10.26492/gbs76(2).2024-10
ภูมิศาสตร์และเศรษฐศาสตร์: การเดินทางของความรู้จากห้องเรียนสู่เหรียญโอลิมปิก
ดร.สิริรัตน์ พงศ์พิพัฒนพันธุ์
สาขาวิชาศิลปศาสตร์ โรงเรียนมหิดลวิทยานุสรณ์
การเดินทางขององค์ความรู้ในรายวิชาภูมิศาสตร์และเศรษฐศาสตร์ตลอดกว่าสองทศวรรษที่โรงเรียนมหิดลวิทยานุสรณ์ ไม่ได้เป็นเพียงการส่งต่อเนื้อหาตามตำรา แต่คือการเดินทางผ่านการตกผลึกทางความคิดของครูที่มุ่งมั่นเปลี่ยนการสอนจากแบบเดิมสู่ “แนวปฏิบัติที่เป็นเลิศ” (Best Practice) เพื่อพัฒนาศักยภาพของนักเรียนที่มีความสามารถพิเศษทางวิทยาศาสตร์ให้ก้าวสู่เวทีระดับโลกได้อย่างเต็มศักยภาพ

ในวาระครบรอบ 36 ปี โรงเรียนมหิดลวิทยานุสรณ์ ผมภูมิใจที่ได้เป็นส่วนหนึ่งในการบ่มเพาะเมล็ดพันธุ์เหล่านี้ ไม่ใช่แค่เพื่อให้เขาเติบโตไปเป็นนักวิจัยที่เก่งวิชาการ แต่เป็นนักวิจัยที่มี “หัวใจ” ละเอียดอ่อน และพร้อมจะสร้างองค์ความรู้ใหม่ให้โลกใบนี้อีกด้วย
กระบวนทัศน์ที่เปลี่ยนไป: จากทฤษฎีสู่การคิดเชิงระบบ การเรียนการสอนแต่เดิมเน้นการถ่ายทอดทฤษฎีเป็นหลัก แต่เมื่อโลกก้าวหน้าและซับซ้อนขึ้นด้วยเทคโนโลยีและพลวัตทางเศรษฐกิจ ครูผู้สอนจึงได้นำแนวคิด Reflective Practice หรือการสะท้อนคิดจากการปฏิบัติ มาใช้เพื่อทบทวนและปรับเปลี่ยนวิธีการสอนอย่างต่อเนื่อง โดยรายวิชาภูมิศาสตร์มุ่งเน้นให้นักเรียนเกิดทักษะการคิดเชิงระบบ (Systems Thinking) และการใช้เหตุผลเชิงพื้นที่ (Spatial Reasoning) ฝึกทักษะการวิเคราะห์ข้อมูลเชิงประจักษ์จากเครื่องมือที่ทันสมัย อาทิ ภาพถ่ายจากดาวเทียม (RS) ระบบสารสนเทศภูมิศาสตร์ (GIS) ซึ่งเป็นหัวใจสำคัญของการเข้าใจปรากฏการณ์โลก ส่วนวิชาเศรษฐศาสตร์ได้ดำเนินการสืบเสาะ (Inquiry-Based) และศึกษาปัญหาที่ครูได้รวบรวมและกลั่นกรองจากสถานการณ์จริงของโลกมาเป็นแบบฝึกฝนการวิเคราะห์ด้วยเหตุผล จนนักเรียนสามารถสังเคราะห์ความรู้ได้อย่างเป็นระบบ
บูรณาการข้ามศาสตร์: รากฐานสู่ความเป็นเลิศ หัวใจของความสำเร็จคือ การออกแบบกระบวนการเรียนรู้ที่เชื่อมโยงศาสตร์ต่าง ๆ เข้าด้วยกันทั้งโลกศาสตร์ ภูมิศาสตร์ และเศรษฐศาสตร์ อย่างเป็นระบบ นักเรียนไม่ได้เรียนเพียงเพื่อจดจำ แต่เรียนผ่านการสืบเสาะ (Inquiry-Based) และใช้ปัญหาเป็นฐาน (Problem-Based) โดยใช้โจทย์จากสถานการณ์จริงระดับโลกมาฝึกฝนการวิเคราะห์ข้อมูลเชิงประจักษ์ ทั้งจากแผนที่ ภาพถ่ายดาวเทียม และฐานข้อมูลเศรษฐกิจเชิงลึก จนสามารถสังเคราะห์ความรู้เพื่ออธิบายโลกได้อย่างมีเหตุผล
ความสำเร็จ: 10 ปีบนเวทีระดับสากล ความมุ่งมั่นในการเปลี่ยนบทบาทครูจาก “ผู้ถ่ายทอด” สู่ “โค้ชทางวิชาการ” ส่งผลลัพธ์อย่างเป็นรูปธรรมตลอดระยะเวลา 10 ปีที่ผ่านมา ประจักษ์พยานสำคัญได้แก่ ผลการแข่งขันภูมิศาสตร์โอลิมปิกระหว่างประเทศ (iGeo) ซึ่งสะท้อนถึงมาตรฐานการจัดการเรียนรู้ที่ยั่งยืน
สรุปผลการแข่งขันภูมิศาสตร์โอลิมปิกนานาชาติ (iGeo) ของนักเรียนโรงเรียนมหิดลวิทยานุสรณ์
| พ.ศ. | รายชื่อผู้แทนประเทศไทย | เหรียญรางวัล |
| 2567 | นายณฐกร สวัสดิ์นพรัตน์ | เหรียญเงิน |
| 2565 | นายกษิดิศ วิบูลย์เกียรติ์ | เหรียญเงิน |
| 2565 | นางสาวณัฐนา โชคบุญเจริญ | เหรียญทองแดง |
| 2562 | นายจิรภัทร วัฒนเรืองโกวิท | เหรียญทองแดง |
| 2562 | นายกองทัพ วาณิชย์เจริญพร | เหรียญทองแดง |
| 2561 | นางสาวขวัญลดา ศรีจอมขวัญ | เหรียญทองแดง |
| 2561 | นายวัชรพงษ์ วงษ์แก้ว | เหรียญทองแดง |
| 2561 | นางสาวสลิล อำพนนวรัตน์ | เหรียญทองแดง |
| 2560 | นางสาวณัฐณิชา มานะบริบูรณ์ | เหรียญทองแดง |
| 2560 | นายกนกพล ไหมอ่อน | เข้าร่วมการแข่งขัน |
| 2559 | นายภูมิธวัช วชิราพรพฤฒ | เหรียญทองแดง |
| 2558 | นางสาวเมธาวี รัชตวิจิน | เหรียญทองแดง |
จากตารางข้างต้นพิสูจน์ให้เห็นว่า การเรียนวิชาสังคมศาสตร์ในบริบทโรงเรียนวิทยาศาสตร์ เป็นศาสตร์สำคัญที่สร้างทรัพยากรมนุษย์ผู้ “เข้าใจโลก เห็นโอกาส และพร้อมแก้ปัญหาระดับสากล” อย่างแท้จริง

การสอนภาษาต่างประเทศให้นักเรียนวิทยาศาสตร์สไตล์ MWIT
อ.สุภาพัชร์ สินกันทรากร
สาขาวิชาภาษาต่างประเทศ โรงเรียนมหิดลวิทยานุสรณ์
ในวาระที่โรงเรียนมหิดลวิทยานุสรณ์ครบรอบ 36 ปี แห่งการบ่มเพาะเยาวชนผู้มีความสามารถพิเศษทางวิทยาศาสตร์ ภารกิจสำคัญประการหนึ่งคือการเตรียมความพร้อมด้านการสื่อสารในระดับสากล
เส้นทางการเรียนรู้ภาษาอังกฤษของนักเรียนชั้นมัธยมศึกษาปีที่ 4 เริ่มต้นด้วยแบบทดสอบ Mahidol Wittayanusorn Test of English Proficiency (MWIT-TEP) เพื่อนำข้อมูลมาวิเคราะห์พื้นฐานและจัดกลุ่มการเรียนรู้ตามศักยภาพของแต่ละบุคคล ภายใต้รูปแบบการจัดการเรียนการสอนกลุ่มย่อยเพียง 12-18 คน ซึ่งเอื้อต่อการพัฒนาทักษะการฟัง การอ่าน การเขียน และการพูด ได้อย่างทั่วถึง มุ่งเน้นการเสริมสร้างทักษะการส่งออกสาร (Productive Skills) ที่เชื่อมโยงกับอัตลักษณ์ของนักวิทย์รุ่นเยาว์ เช่น การเขียนความเรียงเชิงเหตุและผล (Cause-Effect Essay) ซึ่งเป็นรากฐานสำคัญสู่การรังสรรค์บทคัดย่อและการนำเสนอโครงงานวิทยาศาสตร์ในระดับนานาชาติ

เพื่อสร้างระบบนิเวศแห่งการเรียนรู้ (Learning Ecosystem) ที่กระตุ้นการสื่อสารอย่างเป็นธรรมชาติ โรงเรียนได้ดำเนินกิจกรรม “English Speaking Day” เพื่อเปลี่ยนสถานศึกษาให้เป็นพื้นที่แห่งการฝึกฝนอย่างสร้างสรรค์ โดยสนับสนุนให้ครูและนักเรียนสื่อสารกันด้วยภาษาอังกฤษในทุกวันศุกร์ พร้อมทั้งเปิดเวที “English Competitions” หลากหลายรูปแบบเพื่อให้นักเรียนได้ปลดปล่อยอัจฉริยภาพตามความถนัด ไม่ว่าจะเป็นการถ่ายทอดอารมณ์ผ่านบทเพลงใน Singing Contest การลับคมทางปัญญาในกิจกรรม Spelling Bee การร้อยเรียงจินตนาการผ่าน Poetry Contest ไปจนถึงการแสดงวิสัยทัศน์ที่เฉียบคมใน Speech Contest ซึ่งบูรณาการทั้งศาสตร์แห่งตรรกะและศิลป์แห่งการโน้มน้าวใจเข้าด้วยกัน เพื่อหล่อหลอมความมั่นใจและความสง่างามในการสื่อสารบนเวทีโลก
เพื่อให้ก้าวทันโลกวิทยาศาสตร์ไร้พรมแดน โรงเรียนยังส่งเสริมการศึกษาภาษาต่างประเทศที่ 2 ตามความสนใจ ได้แก่ ภาษาจีน ญี่ปุ่น เกาหลี เยอรมัน ฝรั่งเศส และสเปน โดยเฉพาะภาษาเยอรมันที่โรงเรียนมหิดลวิทยานุสรณ์ได้รับเกียรติเป็นสมาชิกเครือข่ายความร่วมมือในโครงการ “โรงเรียน: ความร่วมมือแห่งอนาคต” (PASCH) ภายใต้การสนับสนุนจากสถาบันภาษาและวัฒนธรรมเยอรมันเกอเธ่ (Goethe Institute) ซึ่งเปิดโอกาสให้นักเรียนได้เข้าร่วมกิจกรรมที่ผสานศาสตร์แห่งภาษาเข้ากับโลกวิทยาศาสตร์อย่างลงตัว รวมถึงการทดสอบภาษาต่างประเทศมาตรฐานสากลเพื่อการันตีความพร้อมสู่การศึกษาต่อและการทำงานในระดับสากล

นอกเหนือจากทักษะทางภาษา มิติแห่งการเรียนรู้ที่ MWIT ยังให้ความสำคัญกับความเข้าใจโลกและเพื่อนมนุษย์ ผ่านกิจกรรมแลกเปลี่ยนทางวัฒนธรรมที่หลากหลาย อาทิ การอบรมวัฒนธรรมญี่ปุ่นโดยนักศึกษาจาก Otemae University ไปจนถึงการเฉลิมฉลองเทศกาลสากลอย่าง Halloween, Christmas และ Lunar New Year เพื่อบ่มเพาะให้นักเรียนเติบโตขึ้นด้วยหัวใจที่เปิดกว้าง เคารพในความหลากหลาย และพร้อมที่จะก้าวเดินไปบนวิถีของพลเมืองโลก (Global Citizen)


ข้อมูลจากการวัดผลการเรียนรู้และการจัดกิจกรรมภาษาต่างประเทศต่าง ๆ ไม่เพียงเป็นภาพสะท้อนความสำเร็จของผู้เรียน แต่ยังเป็นข้อมูลป้อนกลับอันล้ำค่าในการพัฒนาหลักสูตรให้ก้าวทันต่อพลวัตของโลกที่เปลี่ยนแปลงอยู่เสมอ เพื่อหล่อหลอมให้นักเรียน MWIT เติบโตเป็นนักสื่อสารวิทยาศาสตร์ผู้เปี่ยมด้วยศักยภาพ และตระหนักในคุณค่าของการเป็นส่วนหนึ่งของสังคมโลกอย่างยั่งยืนต่อไป
การพัฒนานักเรียนให้เป็นนักสื่อสารผ่านกิจกรรม
อ.ปริศนา พิมดี
สาขาวิชาศิลปศาสตร์ โรงเรียนมหิดลวิทยานุสรณ์
การสื่อสารเป็นหัวใจสำคัญของการดำรงชีวิตและสร้างความสัมพันธ์ระหว่างกันของบุคคลในสังคม ช่วยถ่ายทอดความคิด ความรู้สึก และข้อมูลข่าวสาร รวมถึงการสร้างความเข้าใจอันดี และลดความขัดแย้ง เปรียบเป็นเครื่องมือสำหรับการทำงานและช่องทางที่ช่วยให้เกิดการเรียนรู้ แลกเปลี่ยนความคิด และพัฒนาทักษะชีวิต
ด้วยเหตุนี้เองโรงเรียนมหิดลวิทยานุสรณ์จึงส่งเสริมนักเรียนให้มีความคิดอย่างมีวิจารณญาณ สื่อสารได้อย่างมีประสิทธิภาพ สามารถแก้ปัญหา ปรับตัว และทำงานร่วมกับผู้อื่นได้อย่างมีประสิทธิผล ซึ่งว่าถือเป็นพื้นฐานสำคัญสำหรับการดำเนินการจัดการเรียนการสอนนักเรียนที่มุ่งเน้นความเป็นเลิศทางด้านวิทยาศาสตร์และคณิตศาสตร์ (หลักสูตรโรงเรียนมหิดลวิทยานุสรณ์ พุทธศักราช 2566, 2567)
ในฐานะผู้สอนกลุ่มสาระการเรียนรู้วิชาภาษาไทย สาขาวิชาศิลปศาสตร์ โรงเรียนมหิดลวิทยานุสรณ์ ได้ตระหนักถึงความสำคัญดังกล่าว ประกอบกับการได้รับมอบหมายจากโรงเรียนให้ปฏิบัติหน้าที่พิธีกรและผู้ประกาศรางวัลของกิจกรรมต่าง ๆ จึงขอร่วมสานต่อวัตถุประสงค์ของทางโรงเรียนร่วมกับผู้สอนในกลุ่มสาระการเรียนรู้วิชาเดียวกัน อาจารย์เกศนี นุชทองม่วง จัดตั้งชุมนุม “จับไมค์ จับใจ จับทางพิธีกร” หรือ MWIT New Gen MC ขึ้น เพื่อฝึกนักเรียนให้เป็น “พิธีกร” หรือผู้ประกาศรางวัลในกิจกรรมต่าง ๆ ของโรงเรียน โดยเปิดพื้นที่ให้นักเรียนที่สนใจงานพิธีกรและการพูดในที่สาธารณะ ได้ฝึกฝนทักษะการพูดอย่างเป็นระบบ ทั้งด้านการใช้ภาษา บุคลิกภาพ และการแก้ไขสถานการณ์เฉพาะหน้า เพื่อเตรียมความพร้อมสู่การปฏิบัติหน้าที่จริงในกิจกรรมต่าง ๆ ของโรงเรียน

กิจกรรมในชุมนุมจับไมค์ จับใจ จับทางพิธีกร หรือ MWIT New Gen MC จะเน้นการฝึกปฏิบัติด้านทักษะต่าง ๆ ทั้งฟัง พูด อ่าน และเขียน ในด้านทักษะการพูดจะประสานกับทักษะการอ่าน โดยฝึกตั้งแต่การออกเสียงให้ถูกต้องตามอักขรวิธี การออกเสียงได้ถูกต้องตามความสัมพันธ์ระหว่างพยัญชนะกับเสียง การเว้นวรรคตอนอย่างเหมาะสม การฝึกใช้วลีและประโยคที่เหมาะสมกับงานพิธีการ และการฝึกตีความสารเพื่อให้เข้าใจความหมายของใจความสำคัญของเรื่องที่กำลังปฏิบัติหน้าที่ นอกจากนี้ด้านทักษะการเขียนจะประสานกับทักษะการอ่านและการฟัง โดยฝึกให้เขียนบทพูดพิธีกร และสังเคราะห์ข้อมูลที่ได้รับจากผู้จัดงาน กำหนดการ และธีมหลักของกิจกรรมที่ได้รับมอบหมาย รวมถึงการจำลองสถานการณ์ฉับพลันเพื่อฝึกแก้ไขสถานการณ์เฉพาะหน้ากรณีไม่เป็นไปตามการฝึกซ้อมที่ได้เตรียมตัวไว้ หัวใจสำคัญของการฝึกนักเรียนให้เป็นพิธีกรที่ดีจึงต้องเริ่มจากทักษะทั้ง 4 ด้านผสานกับการเตรียมความพร้อมให้สมบูรณ์ที่สุดก่อนที่จะปฏิบัติหน้าที่พิธีกร
หากเปรียบกิจกรรมของโรงเรียนมหิดลวิทยานุสรณ์เป็นเวทีการแข่งขันเพื่อประลองความรู้ความสามารถ ไหวพริบปฏิภาณ และความกล้าแสดงออกของผู้เข้าแข่งขัน บทบาทของ “พิธีกร” ก็คือภารกิจสำคัญที่นักเรียนต้องก้าวขึ้นมาแสดงศักยภาพของตนเองอย่างเต็มที่ต่อหน้าสาธารณชน พร้อมมีบุคลากรของโรงเรียนช่วยเสริมแรงใจ และผลักดันให้นักเรียนได้พัฒนาตนเองอยู่ตลอดเวลา เวทีแห่งนี้ได้มอบประสบการณ์ชีวิตให้กับพิธีกรอย่างหลากหลาย ไม่ว่าจะเป็น กิจกรรม MWIT Open House, กิจกรรมค่าย Pre-MWIT, กิจกรรมการแข่งขันกีฬาภายใน ศรีตรังเกมส์, กิจกรรมฟังบรรยายพิเศษ, งานราตรีศรีตรัง สานสัมพันธ์น้อง-พี่ของนักเรียนเก่า MWIT และกิจกรรม MWIT Club Festival
ฉะนั้นทุกเวทีคือสถานการณ์จริง ทุกครั้งที่จับไมโครโฟนคือความรับผิดชอบ และทุกคราวที่นักเรียนก้าวขึ้นทำหน้าที่พิธีกร คือการเรียนรู้ที่ไม่มีในตำรา แต่จะติดตรึงตราไปตลอดชีวิต

เบื้องหลังความสำเร็จของกิจกรรมต่าง ๆ ในโรงเรียนมหิดลวิทยานุสรณ์ ไม่ได้มีเพียงเวที แสงไฟ หรือกำหนดการที่ผ่านการคัดสรร หากยังมี “นักเรียนพิธีกร” ผู้ทำหน้าที่เป็นฟันเฟืองสำคัญ คอยขับเคลื่อนให้ทุกช่วงเวลาของกิจกรรมดำเนินไปอย่างงดงามและสมบูรณ์
จากการได้ลงมือปฏิบัติจริง นักเรียนจึงเติบโตในฐานะ “นักสื่อสาร” ที่พร้อมจะ “จับไมค์” และรับผิดชอบภารกิจที่ได้รับมอบหมายอย่างเต็มศักยภาพ ความมั่นใจในการสื่อสารต่อหน้าสาธารณะ การเรียบเรียงความคิดอย่างเป็นระบบ ความรับผิดชอบต่อการทำงานเป็นทีม ทักษะการแก้ไขสถานการณ์เฉพาะหน้า รวมถึงการใช้ภาษาไทยได้อย่างถูกต้องและเหมาะสม ล้วนหล่อหลอมให้นักเรียนเข้าใจบทบาทของตนเองอย่างลึกซึ้ง
ทุกประสบการณ์จึงไม่ใช่เพียงการฝึกพูดบนเวที แต่คือการถอดบทเรียนของการ “จับใจ” ในความสำคัญของหน้าที่ และ “จับทางพิธีกร” เพื่อปฏิบัติภารกิจนั้นได้อย่างมั่นใจ สง่างาม และมีความหมาย
เพราะพิธีกรที่ดี ไม่ได้แค่ทำให้กิจกรรม “ดำเนินไปได้” แต่ทำให้กิจกรรมนั้น “น่าจดจำ”
